• Предмет: Математика
  • Автор: 4erep666999незнайка
  • Вопрос задан 8 лет назад

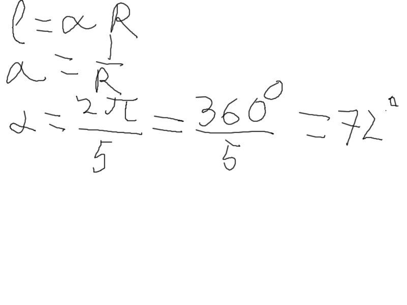
Вычислите градусную меру дуги окружности радиуса 5см, если длина дуги равна 2п

Ответы

Ответ дал: melwaytg
0
я надеюсь разберешь это
Приложения:
Вас заинтересует