Найти производную, помогите((
Нужно решение с первого А и Б, и со второго В. Заранее очень благодарен.
Приложения:

Ответы
Ответ дал:
0
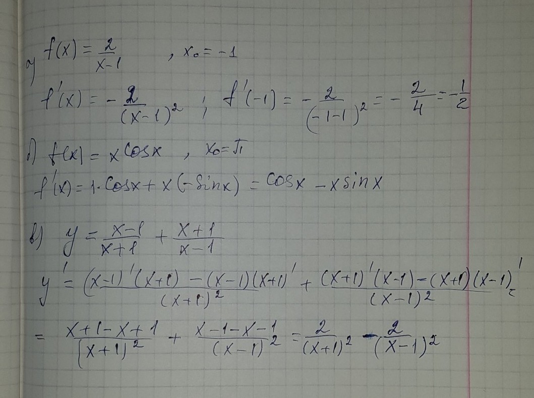
решение задания смотри на фотографии
Приложения:

Ответ дал:
0
пожалуйста ну и спасибо за оценку
Ответ дал:
0
Ты очень помог :)
Ответ дал:
0
был рад помочь
Вас заинтересует
2 года назад
2 года назад
3 года назад
3 года назад
9 лет назад
9 лет назад
9 лет назад