Ответы
Ответ дал:
0
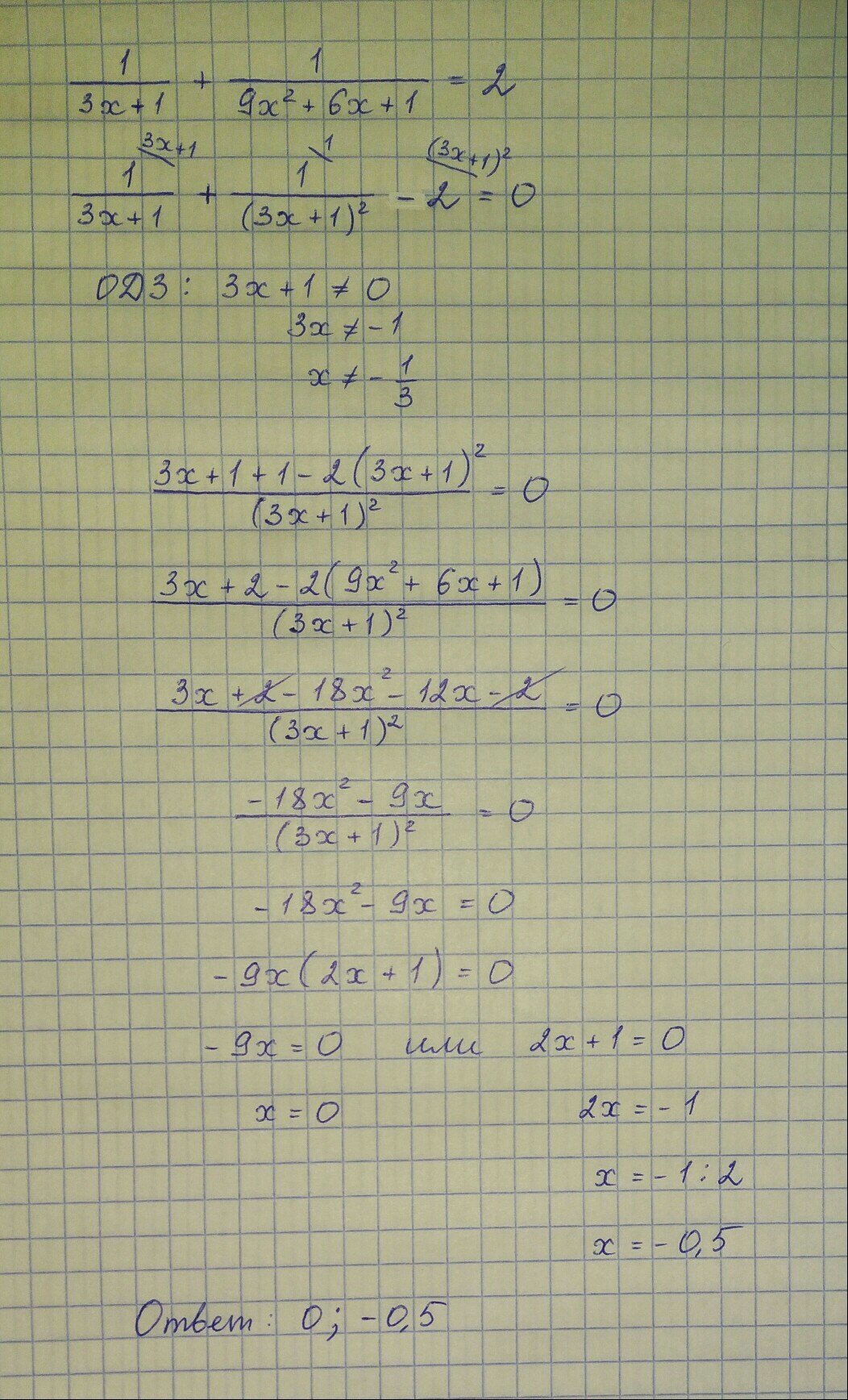
1/(3x+1) + 1/(9x^2+6x+1) = 2
1/(3x+1) + 1/(3x+1)^2 = 2
3x+1 не равен 0
x не равен -1/3
3x+1+1=2(3x+1)^2
3x+1=t (замена)
t+1=2t^2
2t^2-t-1=0
D=1+4*2=3^2
t=(1+/-3)/4=1,-1/2
3x+1=1
x=0
3x+1=-1/2
x=-1/2
Ответ 0 и -1/2
1/(3x+1) + 1/(3x+1)^2 = 2
3x+1 не равен 0
x не равен -1/3
3x+1+1=2(3x+1)^2
3x+1=t (замена)
t+1=2t^2
2t^2-t-1=0
D=1+4*2=3^2
t=(1+/-3)/4=1,-1/2
3x+1=1
x=0
3x+1=-1/2
x=-1/2
Ответ 0 и -1/2
Ответ дал:
0
Ответ: 0; -0,5.
Решение прилагаю.
Решение прилагаю.
Приложения:
Вас заинтересует
2 года назад
2 года назад
3 года назад
9 лет назад
10 лет назад