• Предмет: Математика
  • Автор: lizaaleksandrop618jg
  • Вопрос задан 9 лет назад

При каком значении х числа x-1,2x+1 и 4х +11 Есть последовательным членами геометрической прогрессии найдите эти числа

Ответы

Ответ дал: Trover
0

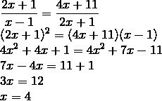
frac{2x+1}{x-1}=frac{4x+11}{2x+1}\(2x+1)^2=(4x+11)(x-1)\4x^2+4x+1=4x^2+7x-11\7x-4x=11+1\3x=12\x=4

4-1 = 3 - первое число

2*4+1 = 8+1 = 9 - второе число

4*4+11 = 16+11 = 27 - третье число.

Приложения:
Вас заинтересует