Ответы
Ответ дал:
0
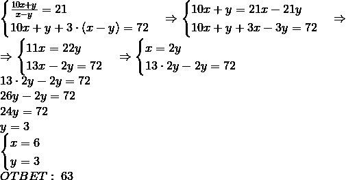
Пусть в числе x десятков и y единиц. Тогда по условиям задачи

Приложения:

Вас заинтересует
2 года назад
3 года назад
3 года назад
9 лет назад
9 лет назад
9 лет назад
9 лет назад