• Предмет: Алгебра
  • Автор: qweryuio123456
  • Вопрос задан 9 лет назад

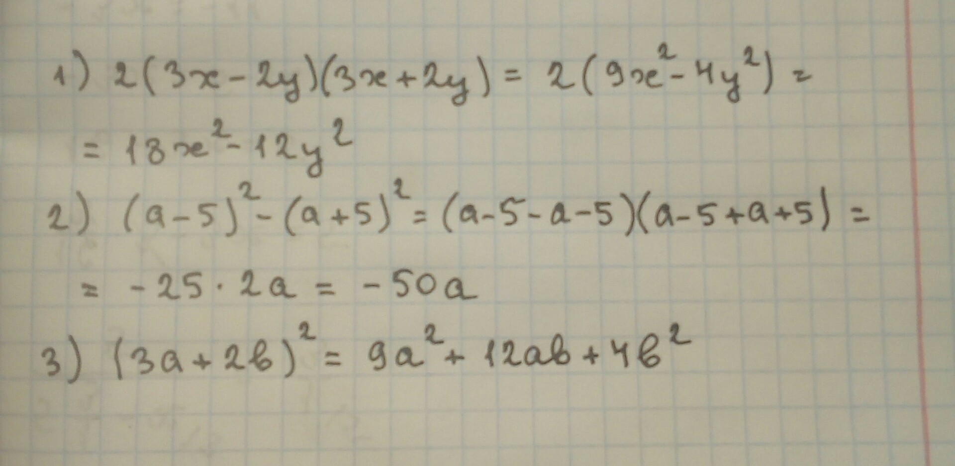
Выполните действия:
1) 2(3х – 2у)(3х + 2у); 2) (а – 5)² – (а + 5)² ; 3) ( 3а + 2b)².
Срочно помогите!!!

Ответы

Ответ дал: ЯгодкаЯлесная
0
фоточка тебе в помощь ;)
Приложения:
Вас заинтересует