Ответы
Ответ дал:
0
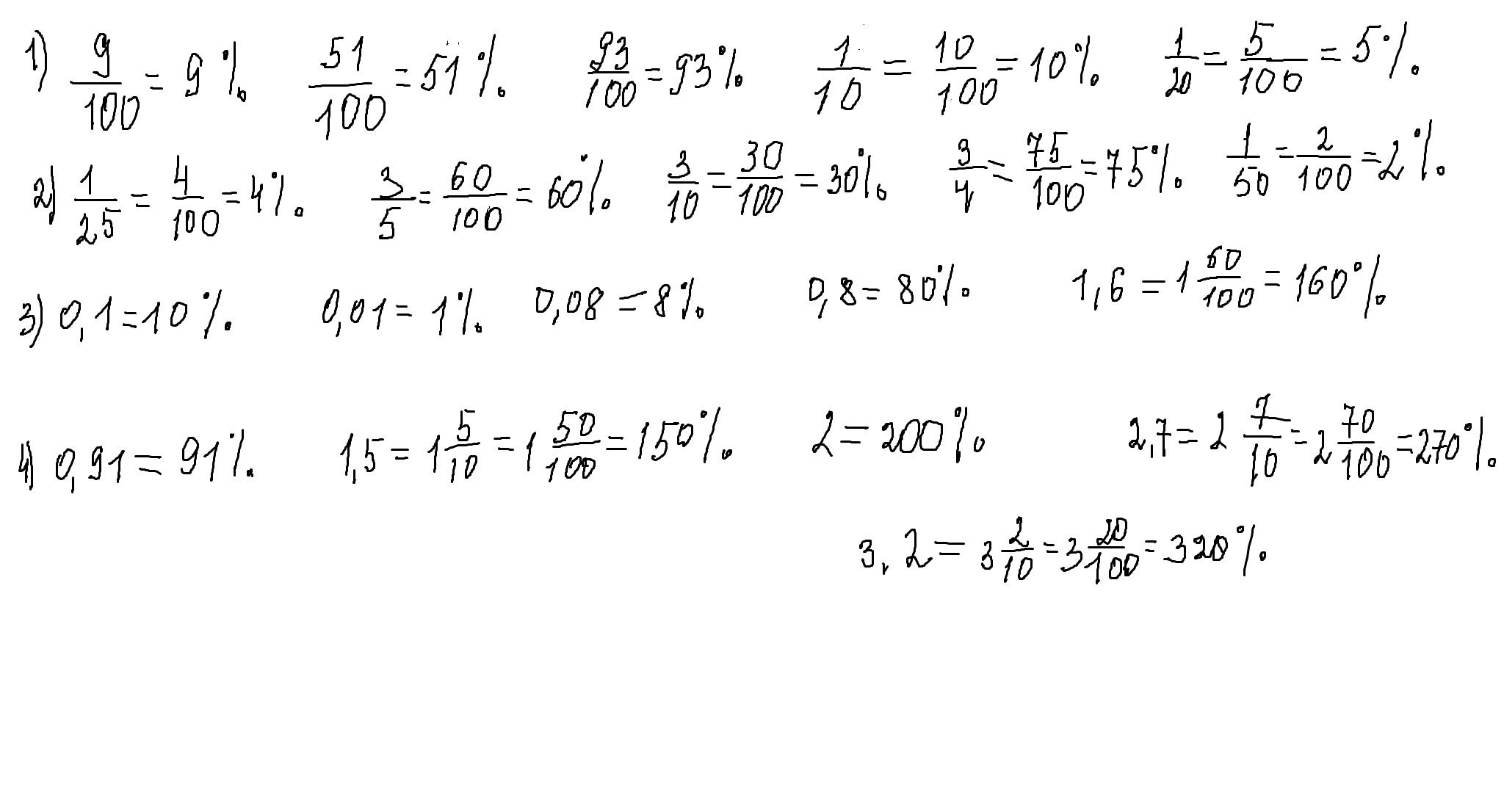
#1. 1) 9%; 2) 51%; 3)93%; 4)10%; 5)5%
#2. 1)4%; 2)60%; 3)30%; 4)90%; 5)2%
#3. 1)10%; 2)1%; 3)8%; 4)80%; 5)160%
#4. 1)91%; 2)150%; 3)200%; 4)270%; 5)320%
#2. 1)4%; 2)60%; 3)30%; 4)90%; 5)2%
#3. 1)10%; 2)1%; 3)8%; 4)80%; 5)160%
#4. 1)91%; 2)150%; 3)200%; 4)270%; 5)320%
Ответ дал:
0
процент это 1100 часть или 0,01
во 2 задании дроби надо привести к знаменателю 100,и тогда будет видно,сколько это процентов
в 4 задании ,чтобы записать дроби в процентах,нужно дробь умножить на 100
0,91*100=91% 1,5*100=150% 2*100=200% 2,7*100=270%
3,2*100=320% или можно более подробно,как записала внизу,привела их к знаменателю 100.
во 2 задании дроби надо привести к знаменателю 100,и тогда будет видно,сколько это процентов
в 4 задании ,чтобы записать дроби в процентах,нужно дробь умножить на 100
0,91*100=91% 1,5*100=150% 2*100=200% 2,7*100=270%
3,2*100=320% или можно более подробно,как записала внизу,привела их к знаменателю 100.
Приложения:
Вас заинтересует
2 года назад
2 года назад
9 лет назад
9 лет назад
10 лет назад
10 лет назад