Ответы
Ответ дал:
0
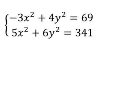
-3х² + 4у² = 69 | * (-3) 9x² -12y² = -207
5х² + 6у² = 341 * 2, ⇒ 10x² +12y² = 682сложим почленно
получим: 19х² = 475 , ⇒ х²= 25, ⇒ х = +-5
а)х = 5 б)х = -5
-3х² +4у² = 69 -3х² +4у² = 69
-75 +4у² = 69 -75 +4у² = 69
4у² =144 4у ²= 144
у² = 36 у² = 36
у = +-6 у = +-6
Ответ:(5;6);(5;-6); (-5;6);(-5;-6)
5х² + 6у² = 341 * 2, ⇒ 10x² +12y² = 682сложим почленно
получим: 19х² = 475 , ⇒ х²= 25, ⇒ х = +-5
а)х = 5 б)х = -5
-3х² +4у² = 69 -3х² +4у² = 69
-75 +4у² = 69 -75 +4у² = 69
4у² =144 4у ²= 144
у² = 36 у² = 36
у = +-6 у = +-6
Ответ:(5;6);(5;-6); (-5;6);(-5;-6)
Вас заинтересует
2 года назад
3 года назад
3 года назад
9 лет назад
10 лет назад