• Предмет: Алгебра
  • Автор: kamila19999
  • Вопрос задан 11 лет назад

решите мне пожалуйста)
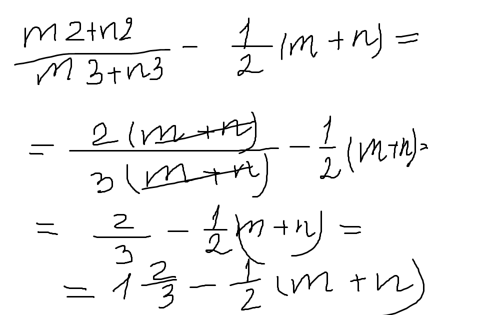
m2+n2/m3+n3 - 1/2(m+n) =

Ответы

Ответ дал: ksyushamasyuk
0
............................................
Приложения:
Ответ дал: mmb1
0
(m2+n2)/(m3+n3)-1/2(m+n)=(2(m2+n2)-(m2+n2-mn))/2(m3+n3)=(m2+n2+nm)/2(m3+n3)
Приложения:
Вас заинтересует