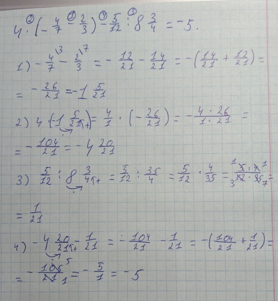
Помогите пожалуйста решить четыри умножить скобку открываем минус четыри седьмых минус две третьих скобку закрыли минус пять двенадцатых разделить на восемь целых три четвёртых по действиям спасибо
Ответы
                                            Ответ дал: 
                                                                                    
                                        
                                            
                                                
                                                
                                                
                                                    0
                                                
                                            
                                        
                                    
                                        Вот, оцените как лучший ответ пожалуйста, заранее спасибо.
                                    
                                                Приложения:
                     
                            Вас заинтересует
                
                        2 года назад
                    
                
                        3 года назад
                    
                
                        9 лет назад
                    
                
                        10 лет назад
                    
                
                        10 лет назад