• Предмет: Математика
  • Автор: timurka041
  • Вопрос задан 9 лет назад

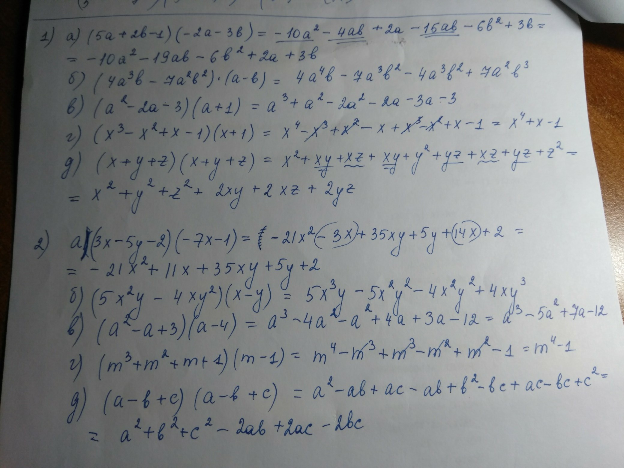
Представьте в виде многочлена стандартного вида:

Приложения:

Ответы

Ответ дал: Redgi13
0
решение во вложении.
Приложения:
Вас заинтересует