(60032:896+438) * (4464:496) =?
Помогите сделать пример под действием в столбик ответ сфотографируйте
Ответы
Ответ дал:
0
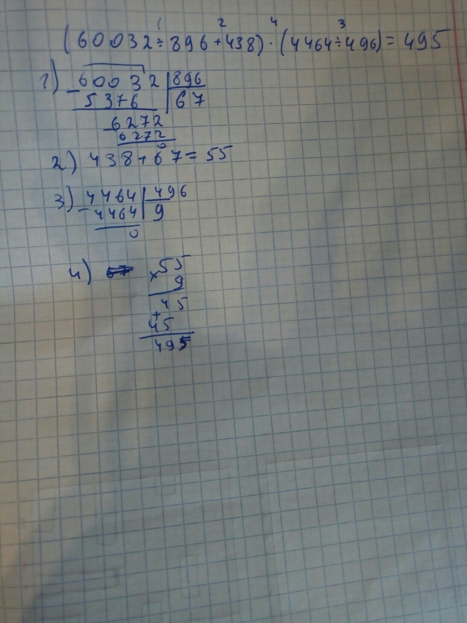
(60032÷896+438)×(4464÷496)=495
Приложения:

Ответ дал:
0
Спасибо
Ответ дал:
0
не за что~
Ответ дал:
0
Там 505
Ответ дал:
0
В получится 4545 но все ровно спасибо )
Ответ дал:
0
да, я,возможно,допустила где-то ошибку,скорее всего,пропустила цифру
Ответ дал:
0
Если не правильно извени.
Приложения:




Ответ дал:
0
Извени не правильно
Ответ дал:
0
Что за программа ?
Вас заинтересует
2 года назад
3 года назад
3 года назад
9 лет назад
9 лет назад