Какое число надо вписать в окошко, чтобы равенство 2/3 * 4/5 = 8/? стало верным? Пожалуйста с разбором задания (дробь = / )
Ответы
Ответ дал:
0
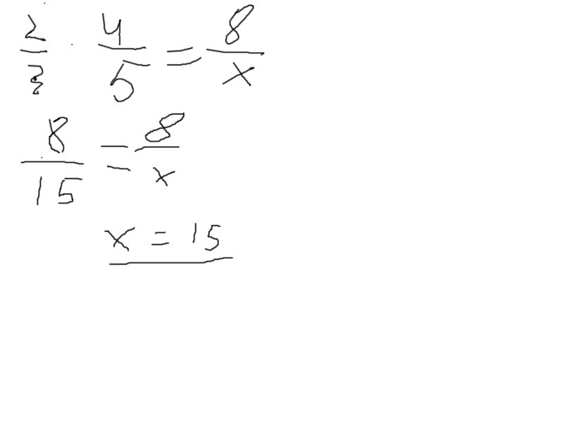
2/3 * 4/5 = 8/15
Просто числитель одной дроби перемножается с другой. тоже самое со знаменателями
2*4=8
3*5=15
Просто числитель одной дроби перемножается с другой. тоже самое со знаменателями
2*4=8
3*5=15
Ответ дал:
0
15. самое обычное уравнение
Приложения:
Вас заинтересует
2 года назад
2 года назад
3 года назад
9 лет назад
9 лет назад
10 лет назад
10 лет назад