• Предмет: Алгебра
  • Автор: chmel00
  • Вопрос задан 9 лет назад

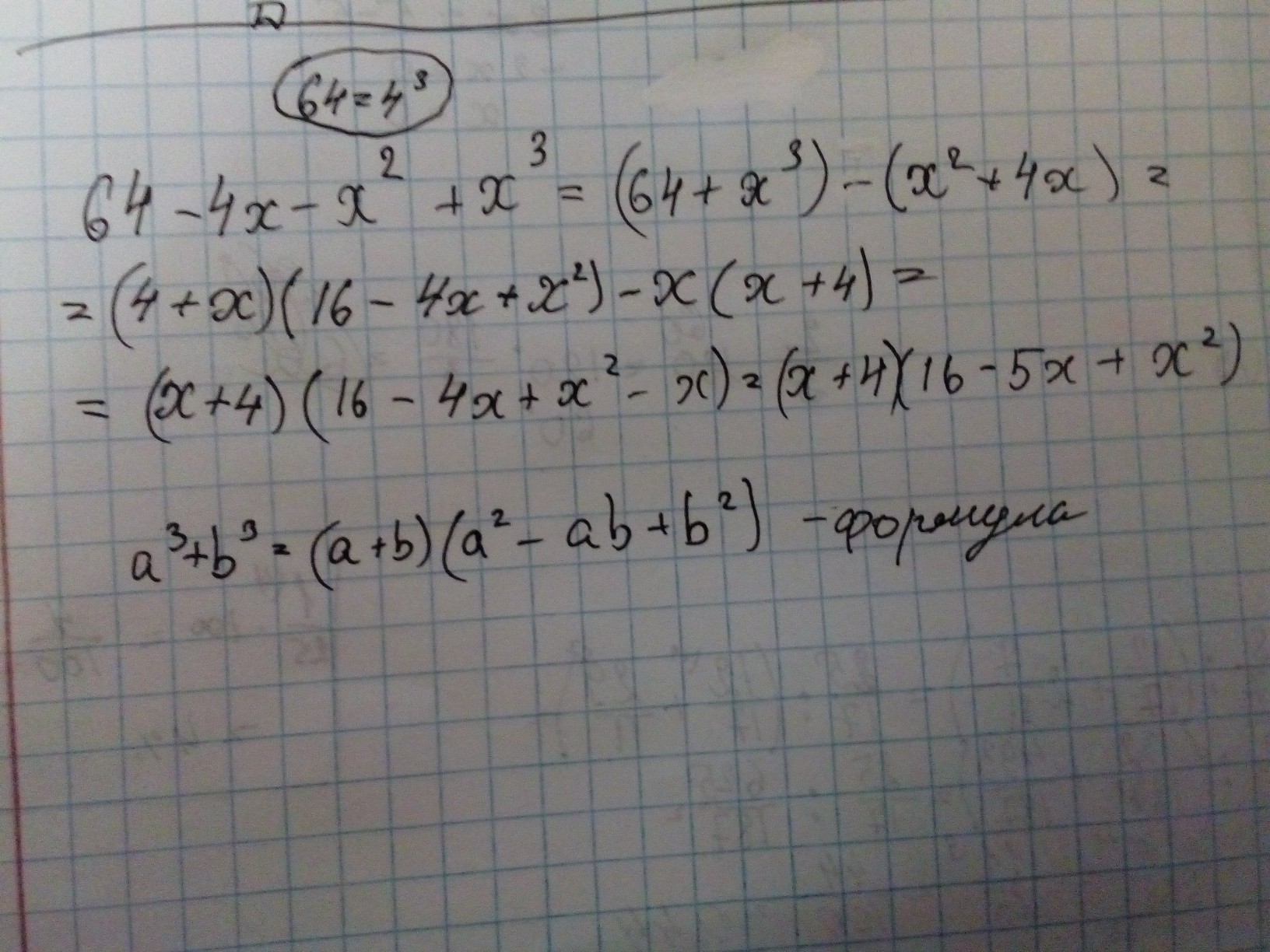
Разложи на множители 64−4x−x^2+x^3

Ответы

Ответ дал: Варонакар
0
я разложила на множители по формуле, которую написала внизу- это первая скобка, а из второй скобки я вынесла х. Потом я вынесла х+4 и дальше привела подобные переменные и всё
Приложения:
Вас заинтересует