• Предмет: Алгебра
  • Автор: Kubrakk
  • Вопрос задан 9 лет назад

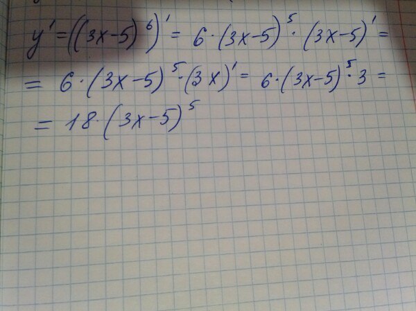
Помогите найти производную y=(3x - 5) в 6 степени

Ответы

Ответ дал: Аноним
0
итак,...............................
Приложения:
Вас заинтересует