• Предмет: Математика
  • Автор: Pecamandaji1233
  • Вопрос задан 8 лет назад

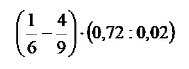
Вычислите:

Пожалуйста. Буду очень благодарен.

Приложения:

Ответа на этот вопрос пока нет. Попробуйте найти его через форму поиска.

Вас заинтересует