• Предмет: Математика
  • Автор: alinoyusuf
  • Вопрос задан 8 лет назад

очень срочно пожалуйста
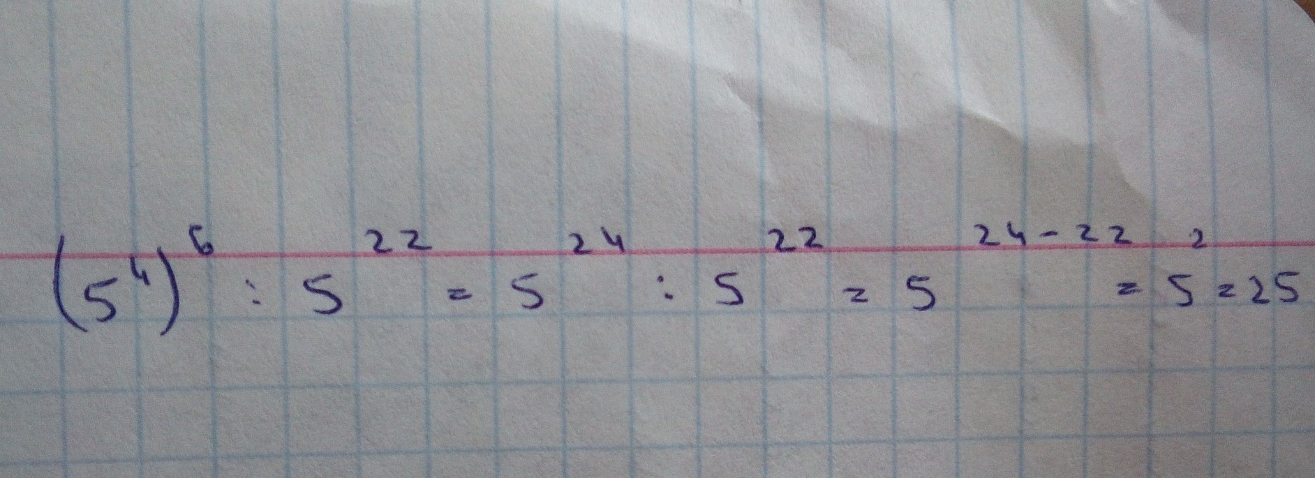
найдите значение выражение (5^4)^6:5^22

Ответы

Ответ дал: aetermun1
0
надеюсь, что поймёшь мой подчерк
Приложения:
Вас заинтересует