• Предмет: Математика
  • Автор: LadyDi5
  • Вопрос задан 8 лет назад

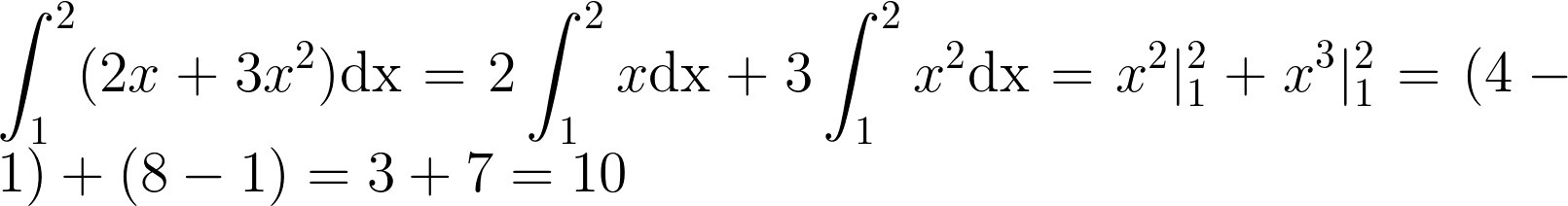
Найдите определенный интеграл

Приложения:

Ответы

Ответ дал: moboqe
0
$$ large \ int_{1}^{2}(2x+3x^2)mathrm{dx}=2int_{1}^{2}xmathrm{dx}+3int_{1}^{2}x^2mathrm{dx}=x^2|_{1}^{2}+x^3|_{1}^{2}=(4-1)+(8-1)=3+7=10 $$
Приложения:
Вас заинтересует