• Предмет: Математика
  • Автор: LadyDi5
  • Вопрос задан 8 лет назад

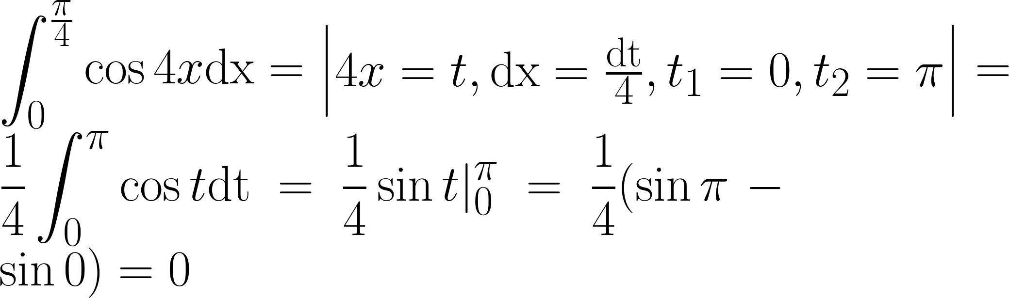
Вычислите определённый интеграл

Приложения:

Ответы

Ответ дал: moboqe
0
huge \ int_{0}^{piover4}cos{4x}mathrm{dx}=begin{vmatrix} 4x=t,mathrm{dx}={mathrm{dt}over4},t_1=0, t_2=pi end{vmatrix}={1over4}int_{0}^{pi}cos{t}mathrm{dt}={1over4}sin{t}|_{0}^{pi}={1over4}(sin{pi}-sin{0})=0
Приложения:
Вас заинтересует