• Предмет: Алгебра
  • Автор: Kowechkakim96
  • Вопрос задан 11 лет назад

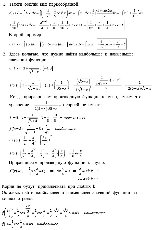
Найдите общий вид первообразной от функции а) f(x) = -1/x^4 + 1/5cos^2x  ; б)  f(x) = sin5x - x

а) f(x) = 3 + 1/корень 5 - х  [-4;0]

б) f(x) = 1/2 cos x/4   [2п/3;1]

Ответы

Ответ дал: Аноним
0

                             Решение:............................

Приложения:
Вас заинтересует