Привет всем ,помогите пожалуйста решить РГР ПО высшей математике,я учусь в Институте,буду очень благодарен ,халявщики лесом .
Приложения:

Ответы
Ответ дал:
0
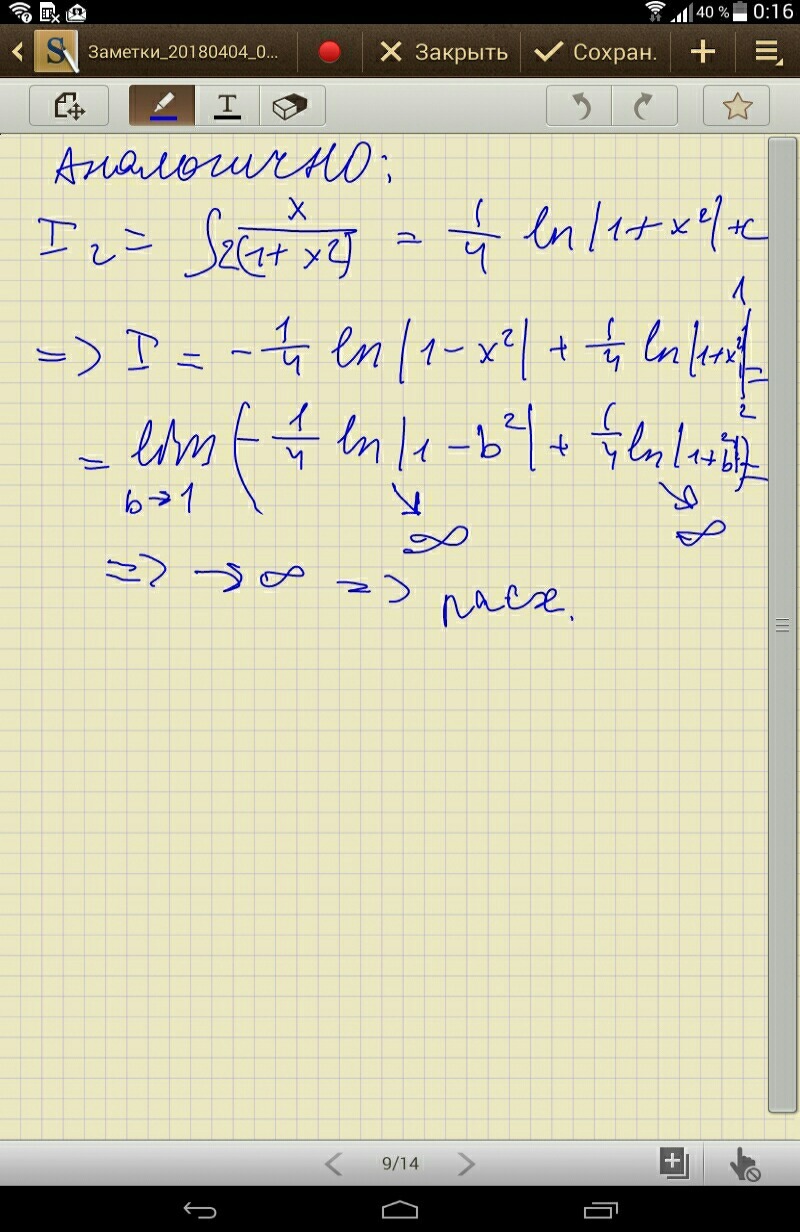
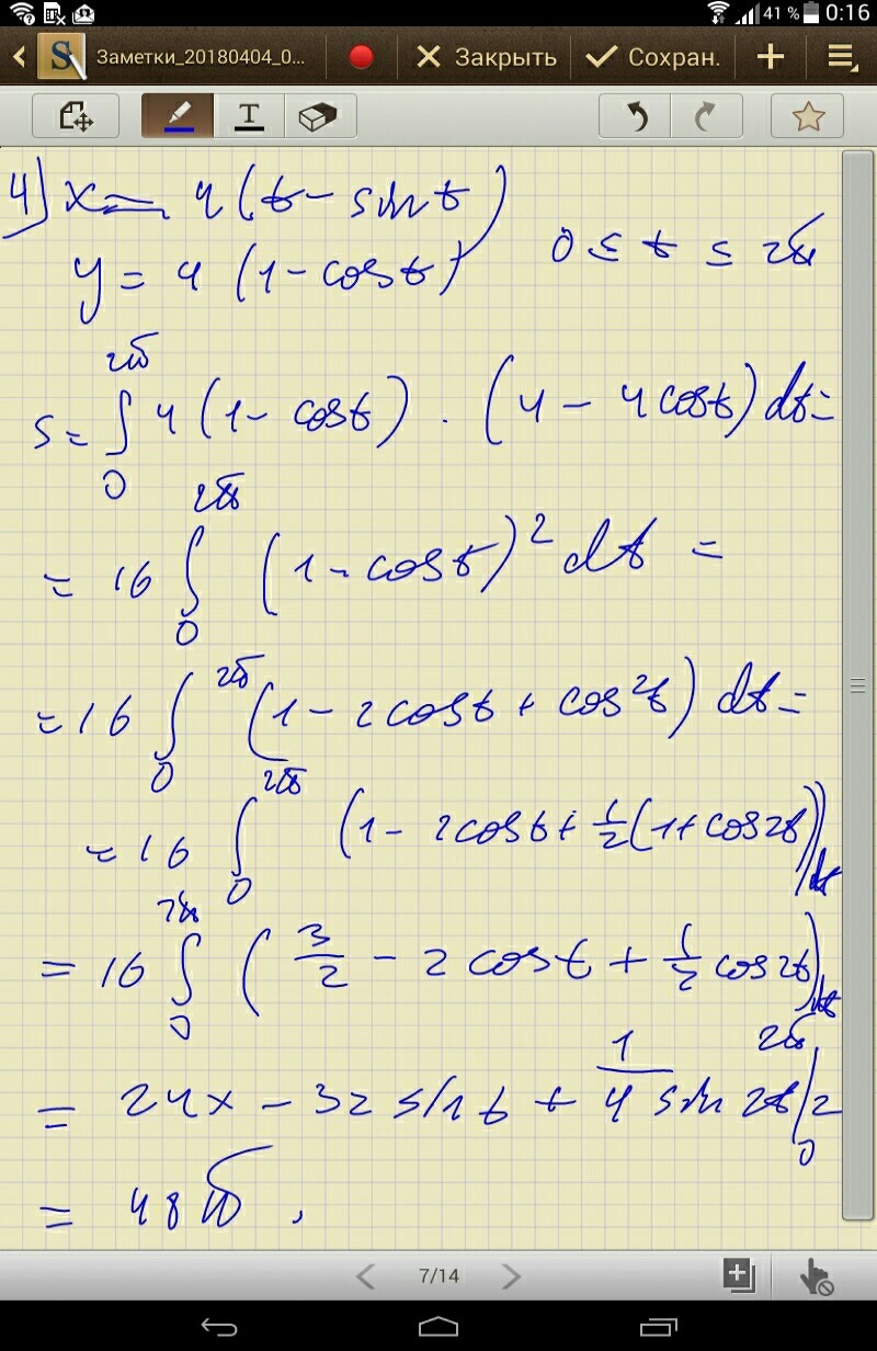
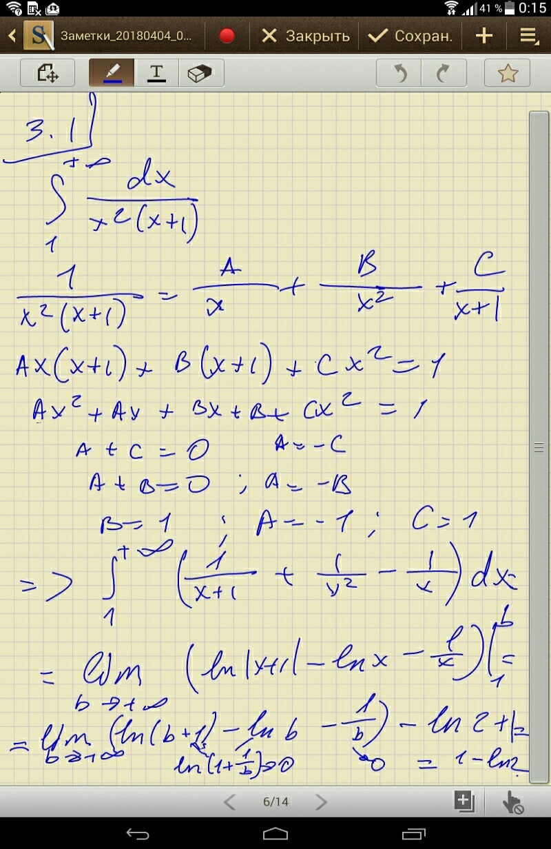
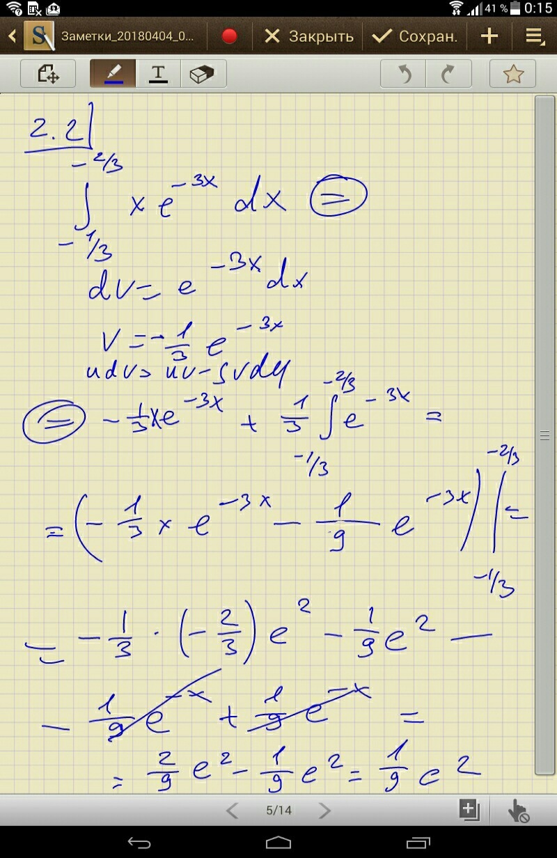
?............................
Приложения:





Ответ дал:
0
2.1 не поместился. Создайте еще один вопрос. Макс можно 5 файлов прикрепить
Ответ дал:
0
Спасибо тебе большое за твою помощь, https://znanija.com/task/28522151
Вас заинтересует
2 года назад
2 года назад
3 года назад
3 года назад
9 лет назад
9 лет назад