Ответы
Ответ дал:
0
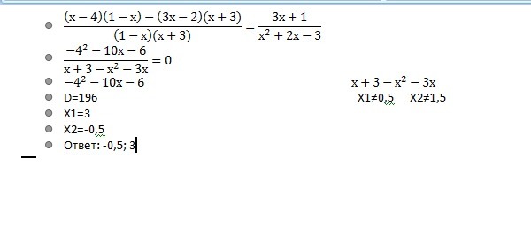
все ниже( формулы убрала, впиши, если что)
Приложения:

Вас заинтересует
2 года назад
2 года назад
9 лет назад
9 лет назад