• Предмет: Алгебра
  • Автор: vanykazakoff
  • Вопрос задан 9 лет назад

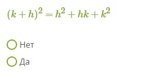
Помогите пожалуйста срочно надо !!!!!!!!!!!!!!!!!!!!!!




правильно или нет ?

Приложения:

Ответа на этот вопрос пока нет. Попробуйте найти его через форму поиска.

Вас заинтересует