• Предмет: Математика
  • Автор: liatsetshladzep6o7k4
  • Вопрос задан 9 лет назад

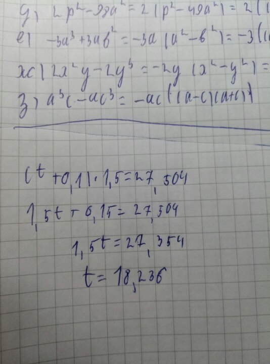
(t+0,1)⋅1,5=27,504ришите пж

Ответы

Ответ дал: BelovedOGod
0
вот так вот, простейшее уравнение
Приложения:
Вас заинтересует