• Предмет: Алгебра
  • Автор: efendieva
  • Вопрос задан 8 лет назад

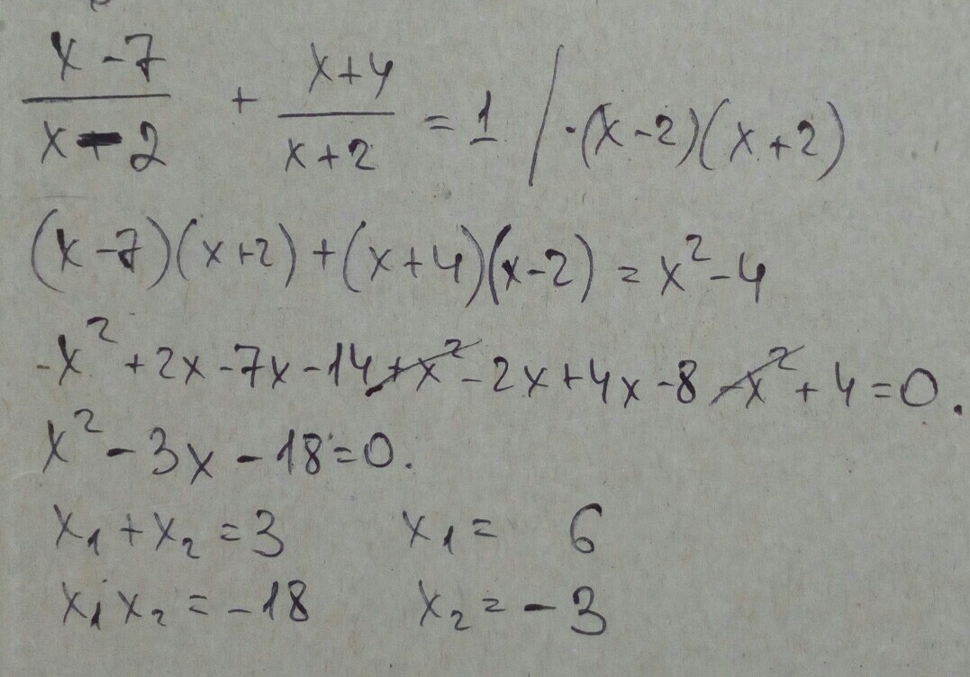
х - 7/ х-2 + х+4/ х+2=1






















Ответы

Ответ дал: Анастасия14121
0
....................
Приложения:
Вас заинтересует