Ответы
Ответ дал:
0
^ - в степени
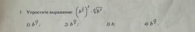
b^(5/6*3) * b^(3/4)= b^(5/2) * b^(3/4)= b^(5/2+3/4)= b^(13/4)
Ответ 1
b^(5/6*3) * b^(3/4)= b^(5/2) * b^(3/4)= b^(5/2+3/4)= b^(13/4)
Ответ 1
Ответ дал:
0
спасибо
Вас заинтересует
2 года назад
2 года назад
3 года назад
3 года назад
9 лет назад
9 лет назад