Ответы
Ответ дал:
0
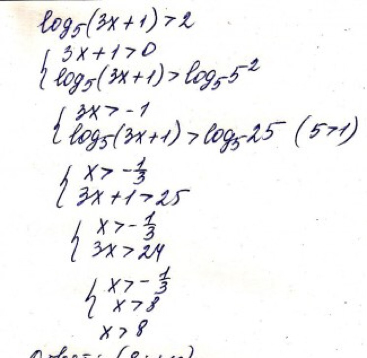
log5(3x+1)>2
{3x+1>0
{log5(3x+1)>log5^5^2
{3x>-1
{log5(3x+1)>log5^25(5>1)
{3x+1>0
{log5(3x+1)>log5^5^2
{3x>-1
{log5(3x+1)>log5^25(5>1)
Приложения:
Вас заинтересует
2 года назад
3 года назад
3 года назад
9 лет назад
9 лет назад
10 лет назад
10 лет назад