• Предмет: Алгебра
  • Автор: KOJIOCOK
  • Вопрос задан 8 лет назад

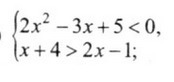
Решить систему неравенств на фото. С рисунком!

Приложения:

Ответы

Ответ дал: energol777
0
________________________
Приложения:
Вас заинтересует