• Предмет: Математика
  • Автор: Faya115
  • Вопрос задан 8 лет назад

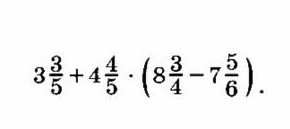
Срочно!!!!!!!!!!!!!!!

Приложения:

Ответы

Ответ дал: anyaaas05
0
Вооот, все по действиям
Приложения:
Ответ дал: Faya115
0
неправильно
Вас заинтересует