• Предмет: Математика
  • Автор: Pozzitiv4ik
  • Вопрос задан 8 лет назад

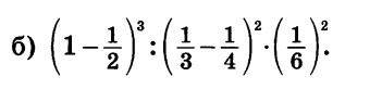
Помогите решить, пожалуйста!

Приложения:

Ответы

Ответ дал: Denik08
0
1/8 : 1/144 * 1/36 = 1/2 ( одна вторая)

Думаю, что правильно) 
Ответ дал: Dulatovnaaa
0
Да, правильно ответ будет ½
Приложения:
Вас заинтересует