• Предмет: Физика
  • Автор: DimasSergeev
  • Вопрос задан 11 лет назад

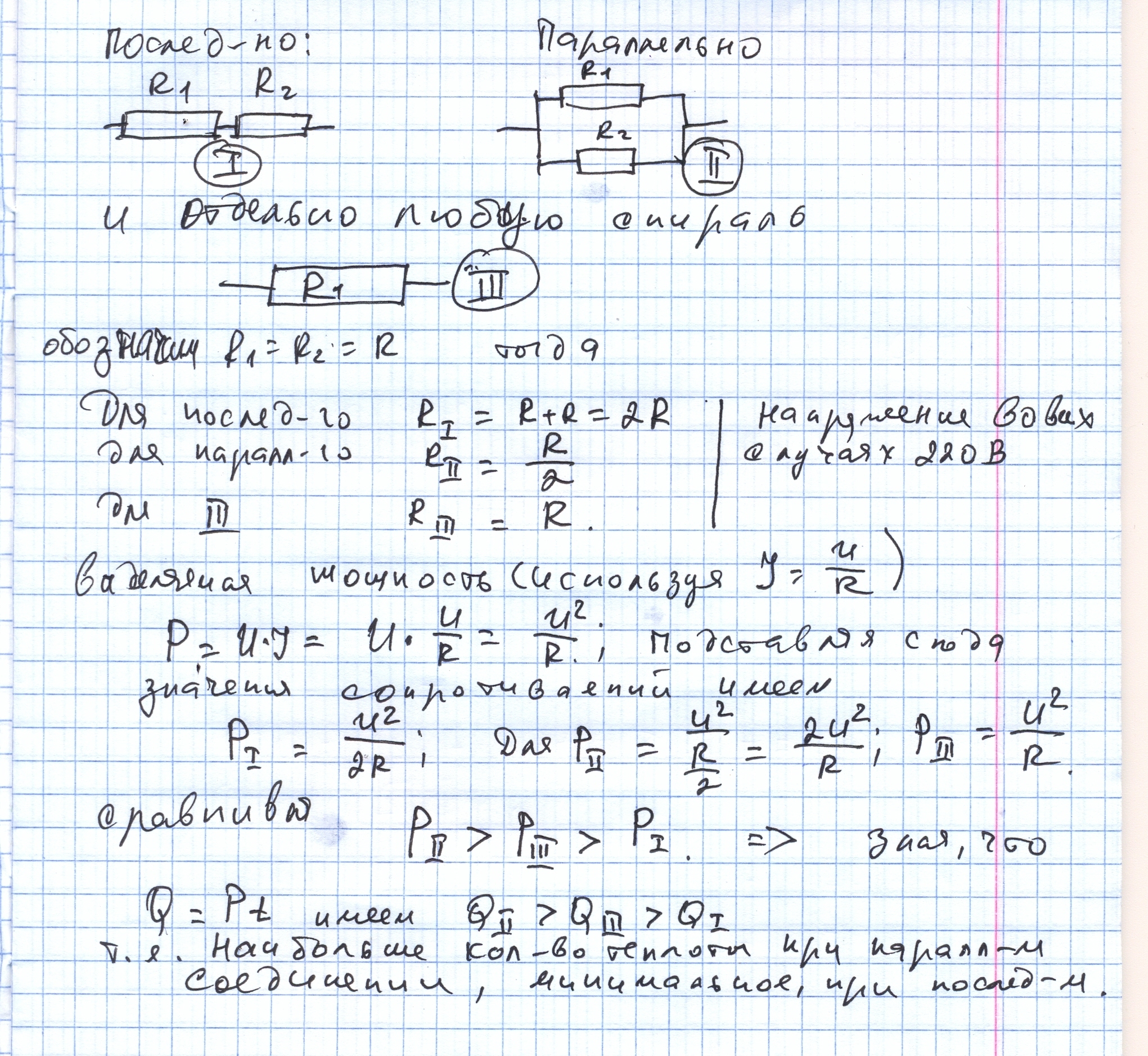
Электроплитка с двумя одинаковыми спиралями позволяет получить три степени нагрева в зависимости от порядка и характера включения спиралей. Начертите схемы включения. Сравните количества теплоты, полученные от плитки за одно и то же время.

Ответы

Ответ дал: ужнеужели
0

Электроплитка с двумя одинаковыми спиралями позволяет получить три степени нагрева в зависимости от порядка и характера включения спиралей. Начертите схемы включения. Сравните количества теплоты, полученные от плитки за одно и то же время.

Приложения:
Вас заинтересует