• Предмет: Алгебра
  • Автор: rahimov118
  • Вопрос задан 8 лет назад

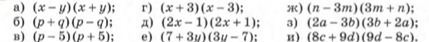
Помогите!!!!!! 1 б,г,з 2 е,г

Приложения:

Ответы

Ответ дал: Ляляля22223333
0
Б). Р^2-q^2
Г). X^2 - 9
З).4a^2-9b^2

Г). 49x^2-4
Е).100x^2-36c^2
Вас заинтересует