• Предмет: Математика
  • Автор: lSteellionl
  • Вопрос задан 8 лет назад

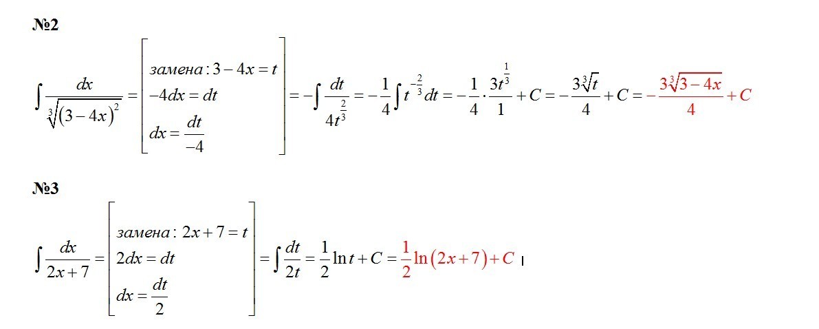
Помогите с 2 и 3 примером

Приложения:

Ответы

Ответ дал: justcall
0
решение смотри ниже.
Приложения:
Вас заинтересует