• Предмет: Математика
  • Автор: 666Софа666
  • Вопрос задан 8 лет назад

Помогите пожалуйста!!!
Очень срочно!!!

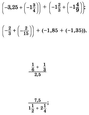
Приложения:

Ответа на этот вопрос пока нет. Попробуйте найти его через форму поиска.

Вас заинтересует