Ответы
Ответ дал:
0
по формуле разности квадратов считаем
Приложения:

Ответ дал:
0
йоу пасиба
Ответ дал:
0
(а-в)(а+в)=а²-в²
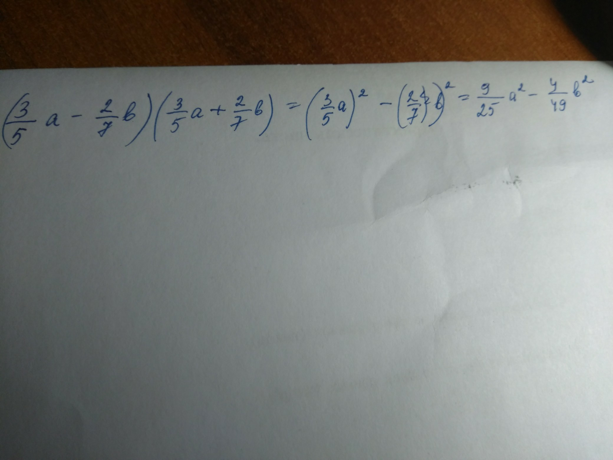
(3/5a-2/7b) (2/7b+3/5a)= (3/5a-2/7b) (3/5a+27b) = (35 a)²-(27b)²=
=925a²-449b²
(3/5a-2/7b) (2/7b+3/5a)= (3/5a-2/7b) (3/5a+27b) = (35 a)²-(27b)²=
=925a²-449b²
Приложения:

Вас заинтересует
2 года назад
2 года назад
3 года назад
3 года назад
9 лет назад
9 лет назад