• Предмет: Алгебра
  • Автор: emilkasafarowb
  • Вопрос задан 8 лет назад

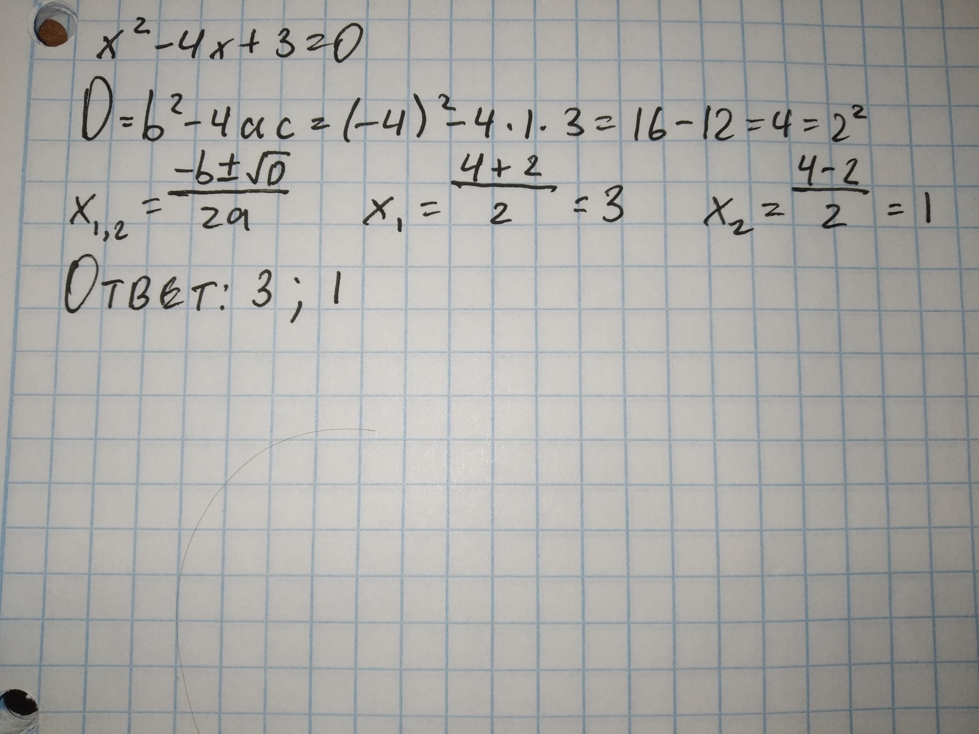
x^2-4x+3=0 помогите пж :D

Ответы

Ответ дал: raiszzz
0
Если ты про вычисление корней уравнения, то вот
Приложения:
Вас заинтересует