• Предмет: Алгебра
  • Автор: KatyaMEM5
  • Вопрос задан 9 лет назад

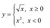
Вычислите значения функции, если а) х=0, у=0 б)х=1, у=1 в)х= -5, у=25

Приложения:

Ответы

Ответ дал: tamarabernukho
0
y= left { {{ sqrt{x} ,x geq 0} atop {x^2,x textless  0}} right.  \  \ y(0)= sqrt{0} =0 \  \ y(1)= sqrt{1} =1 \  \ y(-5)=(-5)^2=25 \  \
Вас заинтересует