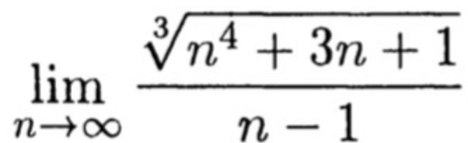
Здравствуйте! Пожалуйста, помогите пошагово решить предел, если не затруднит, подробно всё обьяснить.
Приложения:

Ответы
Ответ дал:
0
Решение в прикрепленном файле.
Приложения:

Ответ дал:
0
Спасибо огромное!
Вас заинтересует
2 года назад
2 года назад
3 года назад
3 года назад
9 лет назад