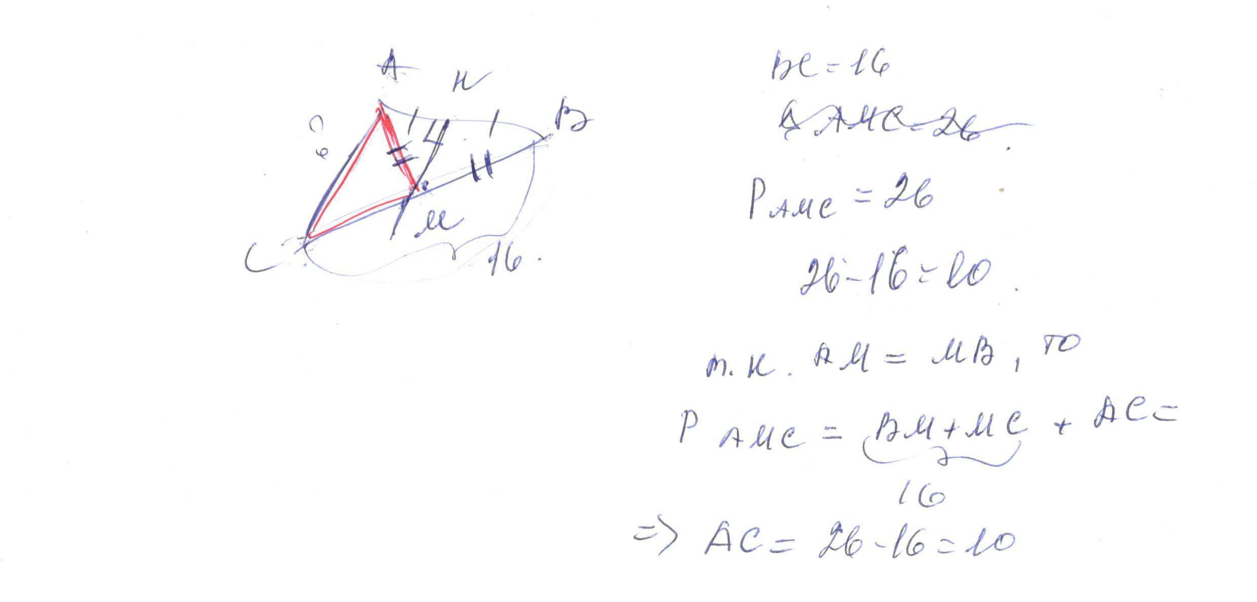
ДАЮ МНОГО БАЛЛОВ..8 КЛАСС ГЕОМЕТРИЯ серединный перпендикуляр стороны АВ треугольника АВС пересекает его сторону ВС в точке М. НАЙДИТЕ АС, если ВС=16 см, а периметр АМС = 26 СМ. напишите решение только и все)
Ответы
Ответ дал:
0
Решение в приложении. Если в учебнике есть ответ, то хорошо бы его писать, чтобы понимать правильно ли ты решил.
Приложения:

Ответ дал:
0
в учебнике этого задания нет, ответ за ранее не знала. Спасибо вам большое.
Вас заинтересует
2 года назад
3 года назад
3 года назад
9 лет назад
10 лет назад