Ответы
Ответ дал:
0
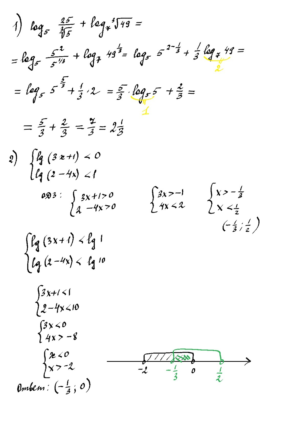
x∈(-2;0)
Так же отметим ОДЗ
x∈(-1/3;1/2)
Ответ:x∈(-1/3;0)
..............................................................................
Чтобы решить первый пример нужно вспомнить свойства степеней
Ответ дал:
0
Спасибо большое
Ответ дал:
0
Забыли ОДЗ у логарифмов.
Ответ дал:
0
Стр обновите
Ответ дал:
0
Решение в прикрепленном файле.
Приложения:

Вас заинтересует
2 года назад
2 года назад
3 года назад
9 лет назад
9 лет назад