Ответы
Ответ дал:
0
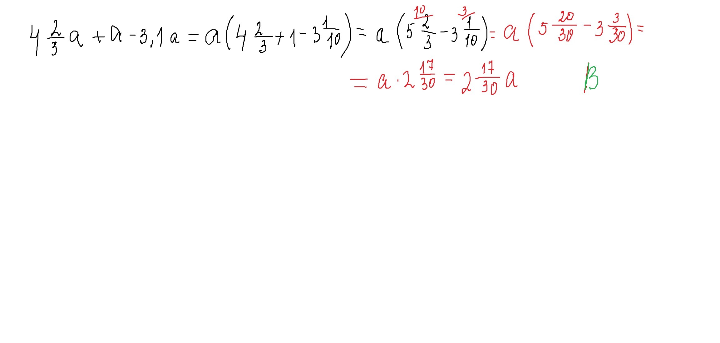
вынесем общий множитель А за скобки и упростим выражение
Приложения:

Ответ дал:
0
дробь 4 две третьихA+a-3,1a=5 две третьихA-3,1a=5 двадцать третьих - 3 целых 3 тридцатых=2 17/30
Приложения:

Вас заинтересует
2 года назад
2 года назад
3 года назад
9 лет назад
9 лет назад
9 лет назад