• Предмет: Алгебра
  • Автор: bertain
  • Вопрос задан 9 лет назад

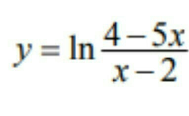
Найти область определения:

Приложения:

Ответы

Ответ дал: Хуqожнuк
0
Чтобы найти область определения, нужно найти x, когда логарифм имеет смысл. Иными словами надо найти значения x, когда (4 - 5x)/(x - 2) > 0

Найдём нули числителя:
4 - 5x = 0
5x = 4
x = 4/5
И нули знаменателя:
x - 2 = 0
x = 2

С помощью метода интервалов найдём промежутки X, когда дробь > 0 (вложение).
x ∈ (4/5; 2)

D(y) = (4/5; 2)
Приложения:
Ответ дал: Universalka
0
 frac{4-5x}{x-2} textgreater  0
Заменим частное произведением
(4 - 5x)(x - 2) > 0
- 5(x - 0,8)(x - 2) > 0
(x - 0,8)(x - 2) < 0
           +                     -                     +
___________₀__________₀____________
                     0,8                 2
                     /////////////////////////
Область определения все значения x ∈ (0,8 ; 2)
Приложения:
Вас заинтересует