По проводнику сопротивлением 3 Ом течет равномерно нарастающий от нуля ток. Количество теплоты, выделившееся в проводнике за 8 с, равно 200 Дж. Определить количество электричества, протекшее за это время по проводни-ку.
Ответы
Ответ дал:
0
перепроверьте) не могу гарантировать правильный ответ
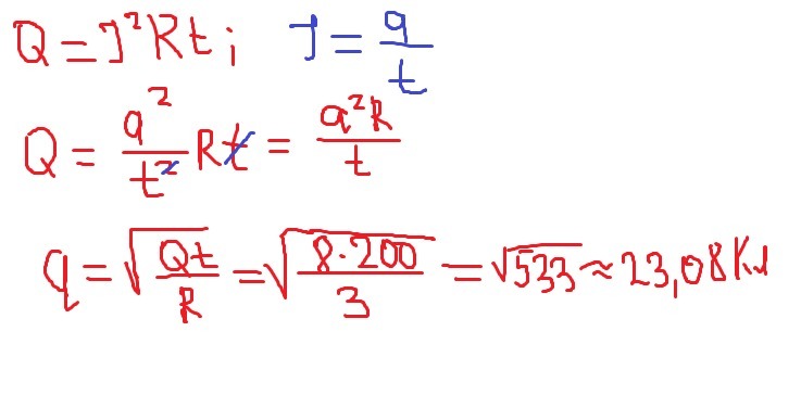
Приложения:

Ответ дал:
0
в методичке ответ 20 Кл. Нужно как-то интегрировать
Ответ дал:
0
I=k*t
Q=∫ k^2*t^2*R*dt интегрируем от 0 до t
k=sqrt(3*Q/t^2*R) (1)
q=∫I*dt от 0 до t=>k*t^2/2(2)
Подставим 1 в 2
q=sqrt(3*Q*t/R)/2=sqrt(3*200*8/3)/2=20 Дж
Q=∫ k^2*t^2*R*dt интегрируем от 0 до t
k=sqrt(3*Q/t^2*R) (1)
q=∫I*dt от 0 до t=>k*t^2/2(2)
Подставим 1 в 2
q=sqrt(3*Q*t/R)/2=sqrt(3*200*8/3)/2=20 Дж
Приложения:

Ответ дал:
0
это я тоже в интернете нашла, что за формула такая I=k*t ? Как она выводится?
Ответ дал:
0
Это не интернета. Ток равномерно возрастает по условию. Значит, его значение в единицу времени растет на одну и туже величину. I=k*t- возрастание тока прямо пропорциональная зависимость, а к- приращение тока ( изменение тока в единицу времени). Вместо к можно ставить любую букву.
Ответ дал:
0
спасибо огромное
Вас заинтересует
2 года назад
2 года назад
3 года назад
3 года назад
9 лет назад
9 лет назад