Студенты, помогите с физикой, пожаалуйста.
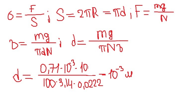
Из капилляра выпало 100 капель спирта массой 0,71 г. Определить диаметр шейки капли в момент отрыва, если коэффициент поверхностного натяжения спирта 0,0222 Н/м.
Ответы
Ответ дал:
0
диаметр можно определить с помощью радиуса)
полное решение ↓↓↓
полное решение ↓↓↓
Приложения:

Ответ дал:
0
Спасибо огроомное!!!
Вас заинтересует
2 года назад
2 года назад
3 года назад
3 года назад
9 лет назад
9 лет назад