• Предмет: Математика
  • Автор: Dimasik2287
  • Вопрос задан 8 лет назад

Нужно решение,thanks!

Приложения:

Ответы

Ответ дал: justcall
0
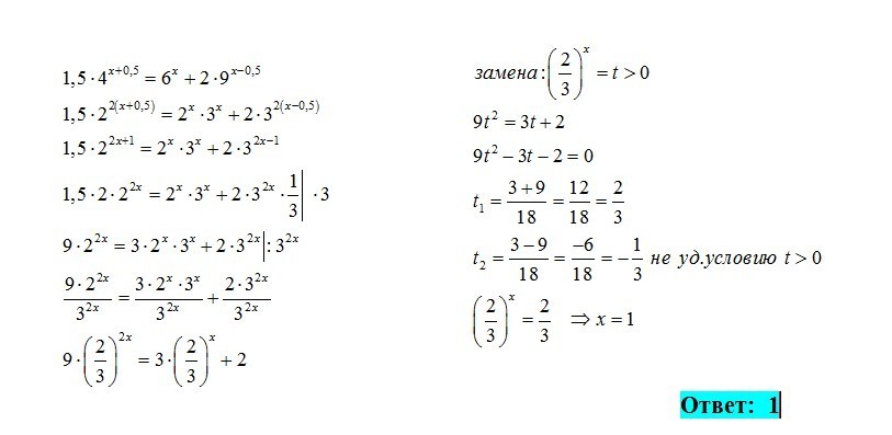
Решение смотри ниже.
Приложения:
Вас заинтересует