• Предмет: Математика
  • Автор: Marat1117www
  • Вопрос задан 8 лет назад

Упростите выражение:
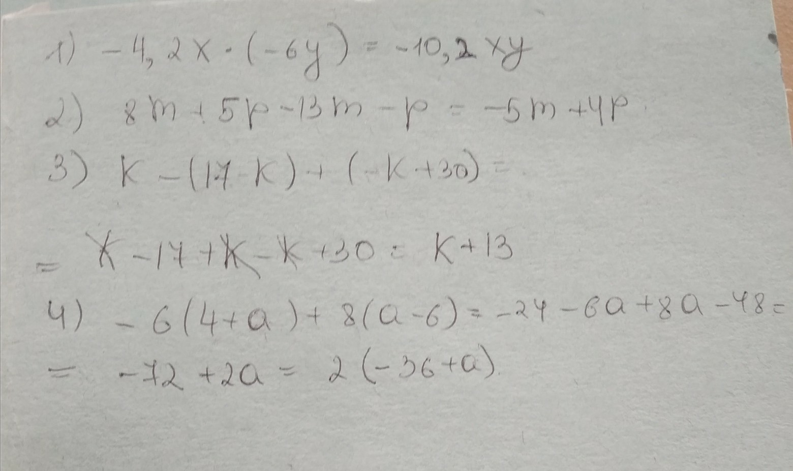
1)-4,2х*(-6у)
2)8m+5р-13m-р
3)k-(17-k)+(-k+30)
4)-6(4+a)+8(a-6)

Ответы

Ответ дал: leaneliaa
0
в первом просто 10,2ху,БЕЗ МИНУСА
Приложения:
Ответ дал: leaneliaa
0
8m-13m= -5 m, знаешь что такое отрицательные числа?
Ответ дал: Marat1117www
0
Я все знаю
Ответ дал: Marat1117www
0
А как 4 нашла
Ответ дал: Marat1117www
0
Все спасибо
Ответ дал: leaneliaa
0
такс, значит....раскрываем скобки,..-6(4+а) -6•4=-24, -6•а= -6а == -24-6а.......вторая скобка : 8(а-6).... 8•а= 8а.... 8• (-6)= -48== 8а-48....получается полное выражение : -24-6а+8а-48.... -24-48= -72, а -6а+8а= 2а.....ну и можно просто поделить (-72а+2а) на 2,чтобы упростить,выносим 2 за скобку,и получаем 2(-36+а)... но последний шаг не обязательно.
Вас заинтересует