Помогите Ребят, надеюсь на вас!
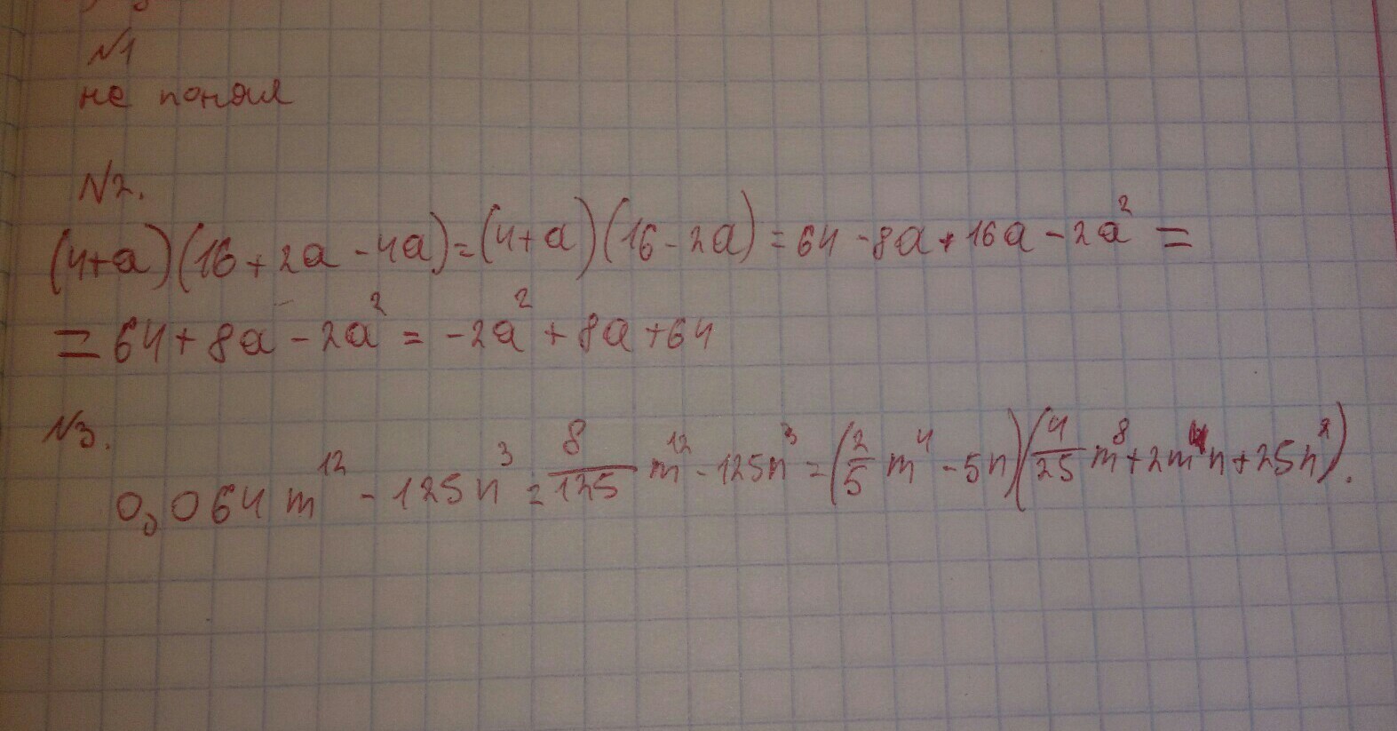
1)Разложите на множители: 8 m^9 + 0 , 027 n^6
2)Упростите выражение: ( 4 + a ) ( 16 + a 2 − 4 a )
3)Разложите на множители: 0 , 064 m^12 − 125 n^3
Заранее спасибо!!
Ответы
Ответ дал:
0
решение на фотографии
Приложения:

Вас заинтересует
2 года назад
3 года назад
3 года назад
9 лет назад
9 лет назад