Ответы
Ответ дал:
0
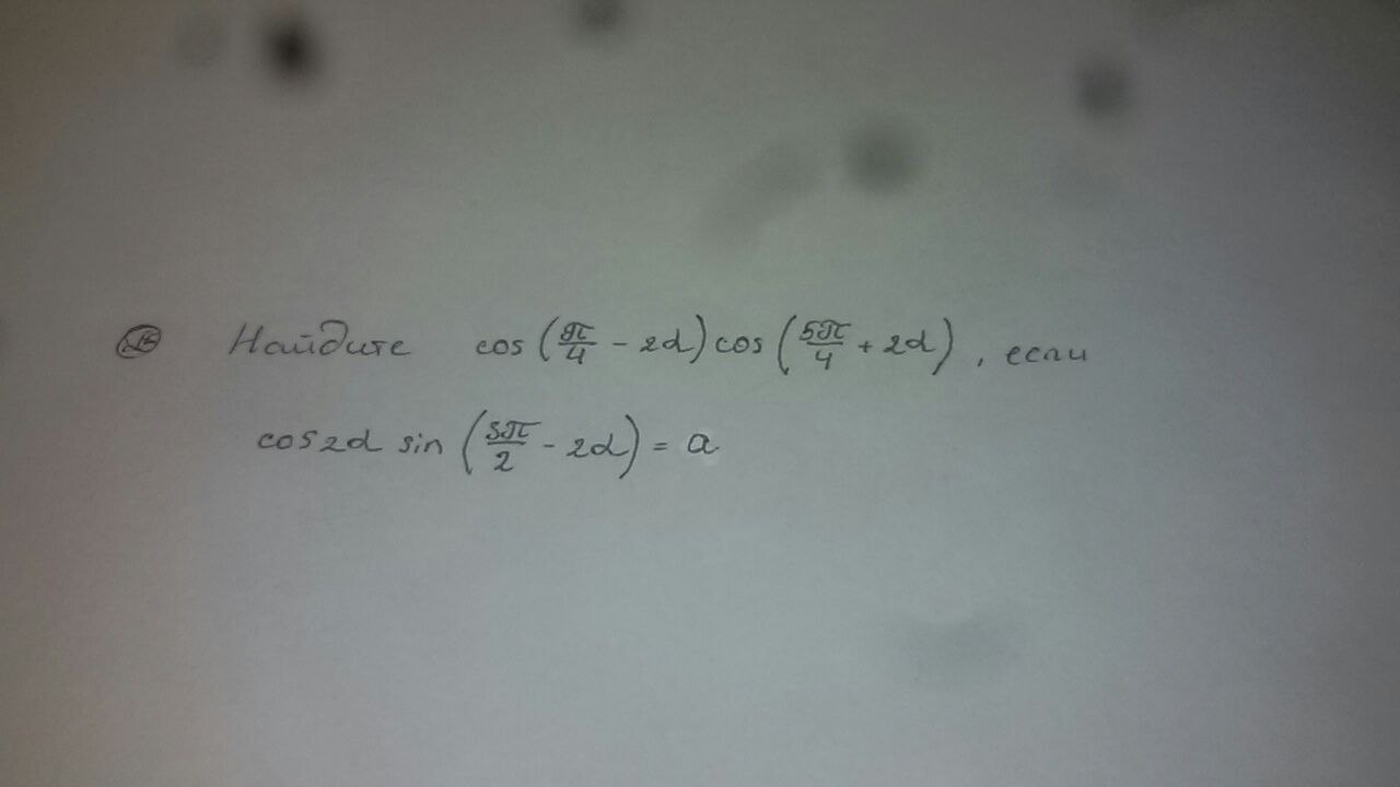
Я буду вместо "альфа" писать "а", а вместо "а" писать "А".
По формулам приведения
sin(3Π/2-2a)=-cos 2a
Известно
cos 2a*(-cos 2a) = -cos^2 (2a) = A.
sin^2 (2a) = 1 - cos^2(2a) = 1+A
Выражение
cos(Π/4-2a)*cos(5Π/4+2a)=
=(cos(Π/4)*cos(2a)+sin(Π/4)*sin(2a))*(cos(5Π/4)*cos(2a)-sin(5Π/4)*sin(2a)) =
= (√2/2*cos(2a)+√2/2*sin(2a))*(-√2/2*cos(2a)+√2/2*sin(2a)) =
= √2/2*(cos(2a)+sin(2a))*√2/2*(sin(2a)-cos(2a)) =
= 1/2*(sin^2 (2a) - cos^2 (2a)) = 1/2*(1 + A + A) = 1/2*(1 + 2A) = A + 1/2
По формулам приведения
sin(3Π/2-2a)=-cos 2a
Известно
cos 2a*(-cos 2a) = -cos^2 (2a) = A.
sin^2 (2a) = 1 - cos^2(2a) = 1+A
Выражение
cos(Π/4-2a)*cos(5Π/4+2a)=
=(cos(Π/4)*cos(2a)+sin(Π/4)*sin(2a))*(cos(5Π/4)*cos(2a)-sin(5Π/4)*sin(2a)) =
= (√2/2*cos(2a)+√2/2*sin(2a))*(-√2/2*cos(2a)+√2/2*sin(2a)) =
= √2/2*(cos(2a)+sin(2a))*√2/2*(sin(2a)-cos(2a)) =
= 1/2*(sin^2 (2a) - cos^2 (2a)) = 1/2*(1 + A + A) = 1/2*(1 + 2A) = A + 1/2
Вас заинтересует
2 года назад
2 года назад
3 года назад
9 лет назад
10 лет назад
10 лет назад