Решите систему уравнении 8 класс бл*ть а в голове пусто!
Help me please
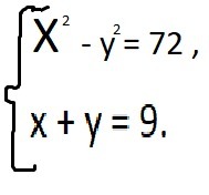
картинка ниже
Приложения:
Ответа на этот вопрос пока нет. Попробуйте найти его через форму поиска.
Вас заинтересует
2 года назад
3 года назад
3 года назад
9 лет назад
9 лет назад
10 лет назад