• Предмет: Алгебра
  • Автор: vaaka
  • Вопрос задан 8 лет назад

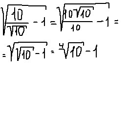
10/√10 - 1 и всё под корнем

Ответы

Ответ дал: kitef
0
Решение на фотографии
Приложения:
Ответ дал: kitef
0
А хотя, так выносить, как в конце, нельзя
Вас заинтересует